Aktuelles

Mehr Stabilität für reaktives HiPIMS durch RF-Superposition

26.01.2026

© Fraunhofer IWM
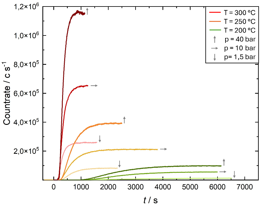
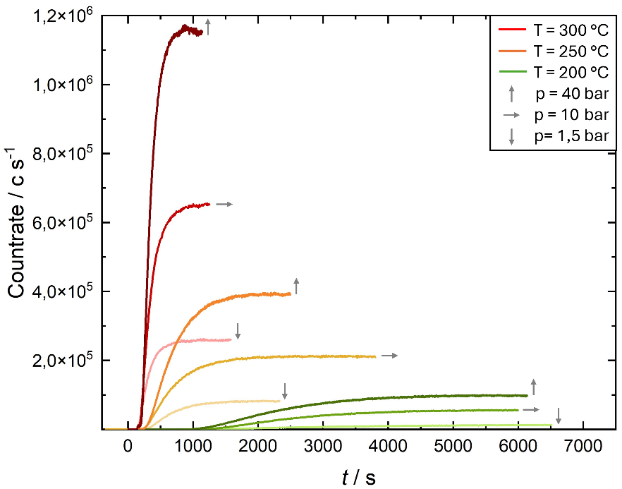
Abb.: HiPIMS-RF-Beschichtungsanlage »Hipster« der Aurion Anlagentechnik GmbH am Fraunhofer IWM (oben) und I-U-Kennlinien (unten). Die Spitzenstromdichte im reinen HiPIMS-Betrieb ist höher als im hybriden HiPIMS/RF-Modus. Zur Orientierung ist eine Spitzenstromdichte von 0,5 A cm-2 eingezeichnet, die oft als Schwellwert für ›echten‹ HiPIMS-Betrieb gebraucht wird. Im Gegensatz zum nicht-reaktiven Modus sind die Spitzenstromdichten bei Reaktivprozessen im reinen HiPIMS-Betrieb im Allgemeinen geringer als im hybriden HiPIMS/RF-Modus.

Alexander Fromm

High Power Impulse Magnetron Sputtering (HiPIMS) bietet erhebliche Vorteile gegenüber etablierten Sputtertechniken wie DC-, MF- oder RF-Sputtern. Dünne Schichten, die mit HiPIMS abgeschieden werden, zeigen verbesserte Eigenschaften, lassen sich jedoch meist nur mit geringeren Raten abscheiden. Zudem neigen reaktive HiPIMS-Prozesse zum Arcing (i.e. unkontrollierte, elektrische Überschläge), was sich negativ auf die Schichtqualität auswirkt. Die Überlagerung unterschiedlicher Plasmaanregungen kann helfen, diese Limitationen zu überwinden.

In unserer Studie haben wir die Superposition von HiPIMS und RF auf einem einzigen Magnetron untersucht und dabei die Spannungs-Strom-Kennlinien, erreichbare Spitzenströme sowie den Einfluss des Drucks auf die Prozessstabilität und die Kathodenspannung für die reaktive und nicht-reaktive Abscheidung von Aluminium in einem Ar/O₂-Plasma analysiert. Unsere Ergebnisse zeigen, dass die Superposition von RF auf HiPIMS einen stabilen Betrieb bei niedrigeren Drücken ermöglicht und das Arcing reduziert. Besonders bemerkenswert ist, dass der Effekt des überlagerten RF auf den Spitzenstrom je nach Prozessmodus unterschiedlich ausfällt: Im reaktiven Sputtern wird der HiPIMS-Spitzenstrom erhöht, während im nicht-reaktiven Modus der Spitzenstrom verringert wird. Dies wird auf die unterschiedlichen sekundären Elektronenemissionen im reaktiven und nicht-reaktiven Modus zurückgeführt.

Die Ergebnisse wurden im Dezember 2025 auf der »Reactive Sputter Deposition Conference 2025« (RSD 2025) in Manchester, UK, einem interessierten Fachpublikum vorgestellt und diskutiert. Aktuelle Arbeiten am MikroTribologie Centrum µTC zielen darauf, die Erkenntnisse in die Entwicklung neuer, leistungsfähiger Barriereschichten einfließen zu lassen.

Sie möchten sich tiefer mit dem Thema befassen? Weitere Informationen finden Sie im folgenden Artikel:

Müller, J.; Swoboda, J.; Burmeister, F.; Fromm, A.; Wirth, M.; Killinger, A.; Ulrich, S., Continuous superposition of high power pulses and radio frequency power on a single magnetron target, Surface and Coatings Technology 521 (2026) Art. 133104 Link

Oder Sie wenden Sich an unsere Kollegen Jonas Müller oder Frank Burmeister.

nach oben

Spanende Endbearbeitung mittels Simulation unterstützt

27.11.2025

© Fraunhofer IWM
Abb: Zusammenwirken von Experiment und Simulation

Dr. Edder García

Erreichen Kühlschmierstoffe die kritischen Kontaktzonen beim schnellen und unterbrochenen Wälzschälen effektiv? Die Studie »Experimental and multiscale simulation analysis of the lubricant penetration in gear skiving« untersuchte diese Frage durch eine Kombination aus experimentellen Methoden und Multiskalensimulationen und liefert wertvolle Einblicke in das Schmierstoffverhalten [1].

Um ein tieferes Verständnis des Transports von Schmiermittelmolekülen in den direkten Kontaktbereichen zwischen Werkzeug und Span zu gewinnen, wurden die Schnittkräfte für AISI 4140-Stahl experimentell gemessen, Finite-Elemente-Simulationen der Spanbildung durchgeführt, SPH-Simulationen zur Modellierung der Kühlmittelströmung angewandt, Reynolds-Berechnungen mit Kavitation zur Modellierung des Schmiermittels in der Nähe des Werkzeug-Werkstück-Kontakts angewandt und molekulardynamische Simulationen eingesetzt. 

Die Forschungsergebnisse zeigen mehrere Schlüsselfaktoren zur Verbesserung der Schmierung auf: Höhere Kühlmitteldrücke und größere Öffnungswinkel zwischen Span und Werkzeug können die Kavitation verringern und das Eindringen des Schmiermittels verbessern. Darüber hinaus können Oberflächenmerkmale des Werkzeugs, wie z. B. Nanokavitäten, die Rückhaltung des Schmiermittels verbessern, indem sie die Flüssigkeit einschließen, was die Wahrscheinlichkeit eines Trockenkontakts weiter verringert.

Zusammenfassend unterstreicht diese Studie, wie wichtig es ist, die Schmierungsdynamik beim Wälzschälen zu verstehen. Durch die Optimierung der Prozessparameter und des Werkzeugdesigns zur Verbesserung der Schmiermittelzufuhr, -penetration und -rückhaltung können Hersteller eine bessere Leistung und Zuverlässigkeit bei der Herstellung von Hochgeschwindigkeitsgetrieben erzielen.

[1] García, E. J.; Sauer, F.; Haber, M.; Mukherjee, A.; Falk, K.; Schwitzke, C.; Bauer, H.-J.; Moseler, M.; Schulze, V., Experimental and multiscale simulation analysis of the lubricant penetration in gear skiving, Production Engineering 19 (2025) 1373–1394 Link

nach oben

Ursprung der C(1s)-Peak-Verschiebungen in XPS-Spektren amorpher Kohlenstoffmaterialien

24.11.2025

© American Physical Society
Abb: Verschiebung der C(1s)-Energien von graphitähnlichem (sp²) und diamantähnlichem (sp³) Kohlenstoff durch die Anwesenheit von Wasserstoff (H) [3].

Dr. Michael Walter

Amorpher Kohlenstoff wird in einer Vielzahl von Anwendungen eingesetzt, darunter Beschichtungen für Automotoren, Hochleistungswerkzeuge und Komponenten in der Luft- und Raumfahrt. Da die mechanischen, optischen und elektronischen Eigenschaften von amorphem Kohlenstoff (a-C) stark vom Hybridisierungszustand des Kohlenstoffs, vom Wasserstoffgehalt und von der lokalen Ordnung abhängen, ist eine präzise Charakterisierung dieser Kohlenstoffbindungskonfiguration in diesen Materialien von größter Bedeutung.

Mehrere oberflächenanalytische Methoden wurden zur Charakterisierung der oberflächennahen Bereiche von a-C-Materialien verwendet, darunter Raman-Spektroskopie, Röntgenphotoelektronenspektroskopie (XPS), Nahkanten-Röntgenabsorptions-Feinstrukturspektroskopie (NEXAFS) und Reflexions-Elektronen-Energieverlust-Spektroskopie (REELS). Unter diesen ist die XPS eine der zugänglichsten und am weitesten verbreiteten Methoden zur Charakterisierung kohlenstoffbasierter Materialien.

Die Analyse der Kohlenstoffbindungskonfiguration mittels XPS erfolgt üblicherweise durch Aufnahme hochauflösender C(1s)-Spektren. Diese Spektren werden häufig mit zwei synthetischen Kurven angepasst – eine wird dreifach koordiniertem sp²-Kohlenstoff (graphit-ähnlich) und die andere vierfach koordiniertem sp³-Kohlenstoff (diamant-ähnlich) zugeordnet. Es handelt sich hierbei um zwei Formen von Kohlenstoff mit stark unterschiedlichen Eigenschaften. Trotz der weiten Verbreitung dieses analytischen Verfahrens zur quantitativen Bewertung des Kohlenstoff-Hybridisierungszustands auf Basis der C(1s)-XPS-Signale wurde die Gültigkeit dieser Methodik in Frage gestellt und bleibt weiterhin Gegenstand wissenschaftlicher Diskussionen.

Wir haben bereits gezeigt, dass XPS-Peakpositionen durch Dichtefunktionaltheorie (DFT)-Berechnungen auf der absoluten Energieskala vorhergesagt werden können [1,2]. In der kürzlich veröffentlichten Zusammenarbeit mit R. Carpick von der University of Pennsylvania, USA, und F. Mangolini von der University of Texas at Austin, USA, vergleichen wir simulierte XPS-Spektren mit dem Experiment auf der absoluten Energieskala [3]. Wir zeigen, dass die weit verbreitete Interpretation der Identifikation von sp2- und sp3-Kohlenstoffen für reine Kohlenstoffmaterialien gültig ist. Jedoch muss diese in Frage gestellt werden, sobald das Material Wasserstoff enthält. Unsere Arbeit unterstützt daher Oberflächenwissenschaftler und -wissenschaftlerinnen bei der präzisen Charakterisierung kohlenstoffbasierter Materialien mittels XPS.

[1] Walter, M.; Moseler, M.; Pastewka, L., Offset-corrected Δ-Kohn-Sham scheme for semiempirical prediction of absolute x-ray photoelectron energies in molecules and solids, Physical Review B 94/4 (2016) Art. 041112, 5 Seiten Link

[2] Walter, M.; Vogel, M.; Zamudio-Bayer, V.; Lindbad, R.; Teichenbach, T.; Hirsch, K.; Langenberg, A.; Rittmann, J.; Kulesza, A.; Mitric, R.; Moseler, M.; Möller, T.; von Issendorff, B.; Lau, J. T., Experimental and theoretical 2p core-level spectra of size-selected gas-phase aluminum and silicon cluster cations: Chemical shifts, geometric structure, and coordination-dependent screening, Physical Chemistry Chemical Physics PCCP 21/12 (2019) 6651-6661 Link

[3] Walter, M.; Mangolini, F.; McClimon, J. B.; Carpick, R. W.; Moseler, M., Origin of C(1s) binding energy shifts in amorphous carbon materials, Phys. Rev. Materials 9, 035601 (2025) Link

nach oben

GfT ehrt Prof. Dr. Matthias Scherge mit Georg Vogelpohl Ehrenzeichen für herausragende tribologische Forschung

06.11.2025

© Fraunhofer IWM
Abb.: Vorstandsvorsitzender der GfT, Rolf Luther (l.), überreicht das Georg Vogelpohl Ehrenzeichen an Prof. Dr. Matthias Scherge (r.).

Die Gesellschaft für Tribologie e. V. (GfT) hat am 29. September 2025 Prof. Dr. Matthias Scherge, Geschäftsfeldleiter für Tribologie am Fraunhofer-Institut für Werkstoffmechanik IWM und Leiter des MikroTribologie Centrums µTC, mit dem Georg Vogelpohl Ehrenzeichen ausgezeichnet. Die höchste deutsche Auszeichnung im Bereich Tribologie würdigt Scherges langjährige wissenschaftliche und praxisorientierte Beiträge zur Erforschung und Minderung von Reibung und Verschleiß.

Prof. Matthias Scherge gilt als Wegbereiter der Mikrotribologie. In seiner Habilitation an der TU Ilmenau verknüpfte er oberflächenphysikalische Methoden mit Fragestellungen der tribologischen Charakterisierung und entwickelte erste Mikrotribometer. Seit 2007 forscht er am Fraunhofer IWM, wo er 2011 die Leitung des Geschäftsfelds Tribologie übernahm und 2010 die Gründung des MikroTribologie Centrums µTC initiierte – einer Kooperation von Fraunhofer und dem Karlsruher Institut für Technologie (KIT). Heute umfasst das MikroTribologie Centrum µTC 100 Mitarbeitende und ist ein Keyplayer bei der Erforschung von Reibung und Verschleiß und der Entwicklung von Lösungen zu deren Minderung.

Scherges Arbeit an der Schnittstelle von Werkstoffwissenschaft, Oberflächentechnologie und Chemie steht für einen gelungenen Brückenschlag zwischen Grundlagenwissenschaft und industrieller Anwendung. Zu seinen zentralen wissenschaftlichen Leistungen zählen Arbeiten zur Übertragbarkeit von Mikrotribometermessungen auf reale Bauteile, zu Einlaufprozessen tribologischer Kontakte sowie zu sogenannten „dritten Körpern“ – nanostrukturierten Schichten aus Abrieb- und Umwandlungsprodukten, die Reibung und Verschleiß in vielen Systemen entscheidend beeinflussen.

In den vergangenen Jahren wurde Prof. Matthias Scherge mehrfach ausgezeichnet, unter anderem für die Entwicklung der »Virtuellen Reibspaltsonde« und eines Messsystems zur Detektion von PFAS. Mit dem Georg Vogelpohl Ehrenzeichen wird sein nachhaltiger Beitrag zur Weiterentwicklung der Tribologie und zum Technologietransfer zwischen Forschung und Industrie gewürdigt.

Zur Presseinformation

nach oben

Gleiteigenschaften wie von echtem Eis – Fraunhofer IWM und Glice AG erzielen Durchbruch in der Kunststoffeis-Entwicklung

04.11.2025

© Glice AG
Abb. 1: Aus einer Kunsteisplatte wird ein Prüfkörper hergestellt, dessen Gleitverhalten im Eisgleitsimulator gemessen und bewertet wird.
© Glice AG
Abb. 2: Im Eisgleitsimulator bewegt sich eine Schlittschuhkufe über eine Probe aus synthetischem Eis.

Prof. Dr. Matthias Scherge

In einem gemeinsamen Forschungsprojekt haben das Fraunhofer-Institut für Werkstoffmechanik IWM in Freiburg und die Glice AG in Luzern ein synthetisches Eis entwickelt, dessen Gleiteigenschaften denen von natürlichem Wassereis entsprechen. Ziel war es, ein nachhaltiges und wartungsarmes Eislauferlebnis zu schaffen – ganz ohne Kühlung oder hohen Wasserverbrauch.

Das Fraunhofer IWM untersuchte dafür die Kontaktmechanismen zwischen Schlittschuhkufen und Kunststoffoberflächen mithilfe eines eigens entwickelten Eisgleitsimulators. Auf Basis der gemessenen Reibungs- und Abriebwerte wurde ein tribologisches Modell erstellt, das gezielte Materialoptimierungen ermöglichte.

Das Ergebnis ist eine Kombination aus einem ultrastabilen Polyethylen-Grundkörper und einer hochmobilen Oberflächenschicht mit besonders niedrigen Reibungskoeffizienten von etwa 0,035 – vergleichbar mit oder sogar besser als bei gefrorenem Eis. Damit eröffnet das Projekt neue Perspektiven nicht nur für umweltfreundliche Eislaufbahnen, sondern auch für technische Anwendungen im Maschinenbau, bei denen langlebige, reibungsarme und PFAS-freie Werkstoffe gefragt sind.

Zur Presseinformation

 

nach oben

Zwischen minimalem Schmierstoffverbrauch und optimaler Reibreduktion – welche Schmierfilmdicken sind für eine effiziente PTFE-Schmierung in Wälzkontakten erforderlich?

06.10.2025

© Fraunhofer IWM
Abb. 1: Atomistisches Modell einer PTFE/Eisenoxid-Grenzfläche, welche in den Computersimulationen verwendet wurde, um nanoskalige Reibgesetze herauszuarbeiten.

Dr. Thomas Reichenbach, Dr. Gianpietro Moras, Prof. Dr. Michael Moseler

PTFE ist der wohl bekannteste polymerische Festschmierstoff überhaupt. Aufgrund seiner herausragenden Reibeigenschaften ist er für Anwendungen unter extremen Betriebsbedingungen, wie sie beispielsweise im Weltraum vorliegen, unverzichtbar. Dieses Reibverhalten hat seinen Ursprung darin, dass sich die einzelnen PTFE-Moleküle unter Scherung umorientieren und sich sehr leicht gegeneinander verschieben lassen. Gleichzeitig führt diese Schlüpfrigkeit aber auch dazu, dass der Schmierstoff unter hoher Last sehr leicht aus Reibkontakten herausgedrängt wird.

In Wälzlagern ist eine technische Lösung zur Kompensation des PTFE-Verlusts eine kontinuierliche Nachschmierung, indem PTFE-Reservoire in den Wälzlager-Käfig eingebaut werden und Schmierstoff nach und nach auf die Wälzkörper transferiert wird. Einerseits muss dabei ausreichend PTFE übertragen werden, um die gewünschte Reibminderung zu erzielen, andererseits sollten die Schmierstoffreservoire möglichst langsam erschöpfen. Weiterhin ist PTFE ein Vertreter der umstrittenen PFAS-Materialklasse und sollte, solange keine adäquaten Alternativen gefunden worden sind, möglichst ressourceneffizient eingesetzt werden. Eine dringliche Frage ist daher, welche Schmierfilmdicken tatsächlich für eine ausreichende PTFE-Schmierung in Wälzkontakten erforderlich sind.

Im Rahmen des SPP 2074 der Deutschen Forschungsgemeinschaft und in Kooperation mit unseren langjährigen, experimentellen Kollaboratoren vom Institut für Maschinenelemente und Systementwicklung der RWTH Aachen um Prof. Georg Jacobs und Dr. Florian König konnte die Simulationsabteilung des MikroTribologie Centrums µTC in ihrer neuen Publikation zeigen, dass ein homogener PTFE-Film mit einer Dicke von lediglich 20 Nanometern einen sehr guten Kompromiss zwischen Schmierstoffverbrauch und Reibreduktion bietet [1]. Hierfür wurden experimentell die Reibung und die Schmierfilmverteilung in situ in einem Modell-Wälzkontakt bestimmt. Mittels Molekulardynamiksimulationen konnten Dr. Thomas Reichenbach, Dr. Gianpietro Moras und Prof. Dr. Michael Moseler Reibgesetze entwickeln, die den Zusammenhang zwischen Scherspannung und Schmierfilmdicke beschreiben. Durch die Kombination der experimentell gemessenen Schmierfilmverteilung mit den aus der Simulation abgeleiteten Reibgesetzen konnte die experimentell gemessene Reibung vorhergesagt und die zu erreichende Mindestfilmdicke ermittelt werden, bei deren Unterschreitung die Reibung signifikant zu steigen beginnt.

[1] Reichenbach, T.; von Goeldel, S.; Peeters, S.; Vokolos, G.; König, F.; Jacobs, G.; Moras, G.; Moseler, M., Polytetrafluoroethylene (PTFE) Lubrication of Rolling Point Contacts by Double Transfer Films: Relationships between Friction and Lubricant Film Distribution Revealed by Spacer Layer Imaging and Molecular Dynamics, Tribology Transactions 68/5 (2025) 1102–1113 Link

nach oben

Multiskalentribometer mit Superlubricity-Detektion und integrierter 3D-Analyse

25.08.2025

© Fraunhofer IWM
Abb. 1: Blick in das Multiskalentribometer.

Prof. Dr. Martin Dienwiebel

Mit Hilfe der Förderung aus dem Forschungsfeld Tribologie des BMWE im Rahmen des Sulutrib-Projektes wurde das Multiskalentribometer am MikroTribologie Centrum µTC deutlich in Funktionalität und Messbereich erweitert. Durch einen innovativen neuen Reibkraftsensor können nun sehr kleine Reibwerte (Superlubricity) auch mit hohen Normalkräften und an großen Proben gemessen werden. Gleichzeitig können 3D-Topographien und chemische Informationen mit einem 2-Laser-Digitalholographiemikroskop (DHM) mit eingebautem Ramanspektrometer während eines tribologischen Experiments aufgezeichnet werden. Dies erlaubt es, topographische von chemischen Einlaufeffekten zu trennen. Zusätzlich ist es möglich, mit einem eingebauten Rasterkraftmikroskop die Nanotopographie zu messen.

 

nach oben

Hochdurchsatzscreening von dünnen Schichten – Teil 2

14.07.2025

© Fraunhofer IWM
Abb. 1: Foto des Biegebalkens nach 106 (links) und 108 Schwingungszyklen (rechts) sowie Wöhlerkurven-Mapping mit farbcodierter Darstellung der Änderung des Grauwerts in Abhängigkeit von Zyklenzahl und Dehnungsamplitude. Eine hohe Zyklenzahl und hohe Dehnraten führen zu mehr Schädigung der Schicht und damit zu schnellerer Grauwertänderung (rot, obere rechte Ecke) als niedrige Schwingungszahl und geringe Dehnraten (blau, unten links).

Dr. Frank Burmeister, Marvin Feuerhelm

Während eines Versuchs (siehe Hochdurchsatzscreening von dünnen Schichten – Teil 1) wurden kontinuierlich Bilder der Oberfläche aufgenommen (vgl. Abb. 1). Schädigungen der Schicht durch Ermüdungsrisse, Extrusions- und Porenformung zeigen sich in den Dunkelfeld-Aufnahmen links und rechts des Wöhlerkurven-Mappings als helle Punkte.

In einem Post-Processing-Schritt wird die Änderung des Grauwerts für 100 Bereiche gleicher Dehnungsamplitude bestimmt. Die Schädigung der dünnen Schicht führt zu einer kontinuierlichen Zunahme des Grauwerts. Ergebnis dieser Auswertung ist ein Wöhlerkurven-Mapping, in dem 50.000 bis 100.000 Messwerte eingetragen werden.

Abhängig vom Einsatzbereich der dünnen Schicht kann ein Versagenskriterium in Form einer Zunahme des Grauwerts festgelegt werden und damit eine Wöhlerkurve aus dem Wöhlerkurven-Mapping erstellt werden. Dieser Ansatz ermöglicht es, für verschiedene Einsatzbereiche der dünnen Schicht je eine Wöhlerkurve aus nur einem Ermüdungsversuch zu erzeugen. Dieser Versuchsaufbau ermöglicht es des Weiteren, bis zu 30 Biegebalken vollautomatisiert in kurzer Zeit zu untersuchen.

Damit lässt sich eine Vielzahl von Wöhlerkurven in einem Versuch aufnehmen und zeigen, nach welcher Zahl von Schwingungszyklen die Schicht bei welcher Dehnung versagt. Diese Ergebnisse sind farbcodiert in Abb. 1 aufgetragen. Neben der Ermüdungsfestigkeit von Schichten wären mit einer leichten Modifikation des Versuchsaufbaus auch Messungen anderer Schichteigenschaften möglich.

Aktuell wird an positionierbaren Maskierungsvorrichtungen zur bereichsweisen Beschichtung eines Kamms gearbeitet, so dass man auf den 30 Biegebalken Schichten mit unterschiedlichen Parametern abscheiden kann, um diese in kürzester Zeit vergleichsweise bewerten zu können. Beschichtern, aber auch Anwendern, wird so ein mächtiges Werkzeug zur Entwicklung und Bewertung funktionaler Schichten an die Hand gegeben.

nach oben

Hochdurchsatzscreening von dünnen Schichten – Teil 1

10.07.2025

© Fraunhofer IWM
Abb. 1: Versuchsaufbau.
© Sofie Burger
Abb. 2: Relative Änderung der Reflektivität an einem Biegebalken mit zunehmender Zahl an Ermüdungszyklen [1]. In der Nähe der Einklemmung (Abb. 1, hohe Dehnung) nimmt die Reflektivität schneller ab, die Schicht ermüdet dort schneller.

Dr. Frank Burmeister, Marvin Feuerhelm

Nur wenige Mikrometer dünne Schutz- und Funktionsschichten auf PVD- und CVD-Basis sind in vielen Anwendungen nicht mehr wegzudenken, z.B. als Permeationsbarrieren, zur Lebensdauersteigerung von Lagern und Dichtungen, bei Formgebungsprozessen als auch in der Mikroelektronik, Optik und Medizintechnik. Dabei müssen die Schichten jeweils auf den Anwendungsfall angepasst werden und nicht nur Forderungen zur Funktionalität erfüllen, sondern auch den bauteiltypischen Belastungen, z.B. Temperaturwechselbelastungen, standhalten. Dies erfordert i.d.R. umfangreiche Vortests und längere Phasen der Schichtentwicklung. Den Mitarbeitern des MikroTribologie Centrums µTC ist es nun gelungen, eine Methode zum Hochdurchsatzscreening von Schichten zu erarbeiten, die Entwicklungszeiten erheblich abkürzen kann und mit einer Messung sehr viele Informationen über ein breites Belastungsspektrum bereitstellt.

Dazu wurde mikrolithografisch ein kammähnliches Bauteil mit unterschiedlich langen Biegebalken aus Silizium gefertigt und mittels Magnetronsputtern mit einer 1 µm-dicken Al-Schicht versehen. Danach wurden die einzelnen Biegebalken in ihrer Resonanz angeregt und in Schwingungen versetzt. Auf diese Weise wird eine zyklische Dehnungsermüdung aufgebracht mit den höchsten Dehnungen (~ 0,18) nahe der Einklemmstelle und den geringsten Dehnungen am Biegebalkenende (vgl. Abb. 2) [1]. 

[1] Quelle: Burger, S.; High Cycle Fatigue of Al and Cu Thin Films by a Novel High-Throughput Method, Karlsruher Institut für Technologie KIT, Karlsruhe (2013) Link

 

nach oben

Modell für die Vorhersage von Prozessparametern in neuen Beschichtungsprozessen

13.05.2025

© Fraunhofer IWM, Foto: Kai-Uwe Wudtke
Abb.: Neue Multifunktionsbeschichtungsanlage.

Alexander Fromm

Oberflächenbeschichtungen im PVD-Verfahren sind in vielen Bereichen – z.B. im Werkzeugbau, der spanenden Bearbeitung oder für Verschleiß- und Reibungsminderung von Lagern und Getrieben – nicht mehr wegzudenken. Neben den etablierten Beschichtungsverfahren mit Plasmaanregung durch Gleichstrom (DC), Mittelfrequenz (MF) oder Hochfrequenz (HF) findet seit einigen Jahren das High Power Impulse Magnetron Sputtering (HiPIMS) eine immer weitere Verbreitung. High Power Impulse Magnetron Sputtering bietet signifikante Vorteile gegenüber etablierten Sputtertechniken, wie z.B. höhere Dichte, bessere Haftung und höhere Härten gegenüber konventionell hergestellten Schichten, jedoch auf Kosten vergleichsweise niedriger Abscheideraten. Um diese Einschränkungen zu überwinden und von den Vorteilen der Technik profitieren zu können, wurde die Überlagerung verschiedener Plasmaanregungen untersucht. Dazu wurde am MikroTribologie Centrum µTC zusammen mit der MELEC GmbH (Baden-Baden) die technisch anspruchsvolle Überlagerung von HF und HiPIMS auf einem Einzel-Magnetron realisiert. Damit konnte z.B. die Prozessstabilität gerade bei reaktiven, oxidischen Abscheideprozessen deutlich verbessert werden. Die Besonderheiten und Auswirkungen auf Energiedichten und Plasmaverteilungen dieses hybriden Verfahrens wurden zusammen mit den Partnern Aurion Anlagentechnik GmbH (Seligenstadt) und PlasmaSolve s.r.o. (Brno, Tschechien) untersucht.

Dabei ist es gelungen, ein globales Plasma-Modell für das o.g. hybride HiPIMS-Abscheideverfahren zu erarbeiten. Das Simulationsmodell basiert auf bestehenden Konzepten aus der Literatur zu reinen HiPIMS-Prozessen, ergänzt und entwickelt diese weiter und wurde erfolgreich mit experimentellen Daten des MikroTribologie Centrums µTC zu Strom-/Spannungswerten validiert. Die Übereinstimmung von Experiment und Theorie war dabei sehr gut, durchgeführte Sensitivitätsanalysen erlaubten eine Quantifizierung des Einflusses verschiedener physikalischer Phänomene auf die Prozessparameter. Mit dem Modell können nun auch für industrielle Anlagen gute Vorhersagen zu Prozess- und Leistungsdaten getroffen werden. Die Übertragung von im Labor erarbeiteten Beschichtungsprozessen auf industrielle Anlagen wird damit erheblich beschleunigt.

Die Forschungsergebnisse mit weiteren Details wurden im Journal »Surface an Coatings Technology« [1] veröffentlicht.

[1] Tomanková K.; Mrózek K.; Obrusník A.; Fromm A.; Burmeister F., Sensitivity analysis of various physics processes in industrial HiPIMS: A global plasma modeling perspective, Surface and Coatings Technology, Surface and Coatings Technology 507 (2025) Art. 132126, 10 Seiten Link

nach oben

Ken Ludema Best Paper Award für Tobias König

08.05.2025

© Fraunhofer IWM
Abb.: Übergabe des Preises an Tobias König durch Frau Prof. Dr.-Ing. Stefanie Hanke.

Tobias König und Co-Autoren wurden auf der »Wear of Materials«, die vom 16. bis 20. April in Banff, Alberta, Kanada, stattfand, für ihre Publikation »Importance of contact geometry for experimental tribological research of austenitic cast iron at high temperatures« mit dem Ken Ludema Best Paper Award ausgezeichnet und belegten dabei den zweiten Platz.

In der Publikation wurde der Einfluss der Kontaktgeometrie, insbesondere des Partikelauswurfs, auf das tribologische Verhalten ungeschmierter, thermisch hochbelasteter Kontakte untersucht. Dies geschah durch einen systematischen Vergleich zwischen einem System- und einem Modellversuch. Zusätzlich wurde der Einfluss von Temperatur und Abgasatmosphäre auf das tribologische Verhalten von austenitischem Gusseisen umfassend analysiert.

Die Ergebnisse zeigen, dass die dominierenden tribologischen Mechanismen zwischen dem System- und dem Modellversuch weitgehend vergleichbar sind und die Temperaturbereiche des Verschleißverhaltens eine ausgezeichnete Übereinstimmung aufweisen. Die Verschleißraten und die atmosphärischen Effekte unterscheiden sich jedoch signifikant. Der Einsatz von Nutbuchsen ermöglicht eine detaillierte Untersuchung des Einflusses des Partikelauswurfs und der Kontaktgeometrie auf das tribologische Verhalten. Insbesondere bei niedrigeren Temperaturen können vergleichbare Verschleißraten und atmosphärische Einflüsse nur bei der Verwendung von Nutbuchsen festgestellt werden.

König, T.; Sang, Z.; Daum, P.; Kürten, D.; Kailer, A.; Dienwiebel, M.; Importance of contact geometry for experimental tribological research of austenitic cast iron at high temperatures, Wear, Online First (2025) Art. 206001, 17 Seiten Link

nach oben

Schichthaftungsmessung von dünnen Goldschichten auf Polymersubstraten für Biosensoren

15.04.2025

© Fraunhofer IWM
Abb.: Nano-Scratch-Tests an ultradünnen Goldschichten auf Polymer- und Glassubstraten.

Alexander Fromm

Die steigende Nachfrage nach hochsensitiven, aber kostengünstigen, optischen Sensoren in der Biodiagnostik erfordert die vermehrte Applikation immer dünnerer Metallbeschichtungen auf optischen Gläsern und zunehmend auf optischen Kunststoffen wie COC. Bei der Detektion fluoreszierender Moleküle auf Basis von oberflächenplasmonischen Effekten kommt es jedoch bei der Verwendung gängiger Haftvermittlerschichten wie Titan zu signifikanten Verlusten in der Messsignalintensität. In einer Forschungskollaboration mit dem Institut für Mikrointegration der Universität Stuttgart wurden deshalb Untersuchungen zur Haftung ultradünner Goldschichten auf Polymer- und Glassubstraten durchgeführt. Ein Ziel war es zu prüfen, ob durch eine Plasmavorbehandlung des Substrats eine ausreichende Schichthaftung und -beständigkeit auch ohne die Verwendung einer Titan-Haftschicht erreicht werden kann. Die Messung der Schichthaftung stellte sich dabei als große Herausforderung dar. Gründe sind die geringe Schichtdicke sowie die hohe Duktilität der Goldschichten.

Die Gruppe »Tribologische und funktionale Schichtsysteme« des MikroTribologie Centrums µTC unterstützte die Forschungsarbeiten und brachte die Methode des Nano-Scratch-Tests mit ein. An den nur 50 nm dünnen Goldschichten wurden Scratches mit extrem geringen, linear ansteigenden Lasten von 100 nN bis 10 mN durchgeführt, teilweise mit einer Überlagerung einer sinusoidalen Schwingung senkrecht zur Ritzrichtung. Der Radius der Diamantspitze betrug dabei lediglich 5 µm. Die ritzinduzierten Schichtschädigungen konnten dabei in-situ lichtmikroskopisch beobachtet werden. Zur Aufklärung der Schadensmechanismen wurden die Scratches zusätzlich mit Elektronenmikroskopie (REM) und energiedispersiver Röntgen­spektroskopie (EDX) charakterisiert. Auf diese Weise war es möglich, den Einfluss von Plasmabehandlungsschritten auf die Schichthaftung mit dem Einfluss von Titan-Haftschichten zu vergleichen. Außerdem konnte die Wirkung von Temperaturwechseltests auf die Schicht­be­ständigkeit bewertet werden. Die Ergebnisse der Scratch-Tests waren gut mit Ergebnissen aus Gitterschnitttests der Universität Stuttgart vergleichbar bzw. ergänzten diese.

Die Ergebnisse der Zusammenarbeit wurden unter dem Titel »Evaluation of the Adhesion Strength of Ultrathin Gold Coatings on Substrates of Soda-Lime Glass and Cyclo-Olefin-Polymer by Cross-Cut and Scratch Tests under the Influence of a Thermal Shock Test for Use in Biosensors« als Open Access Artikel publiziert. 

nach oben

openBIS: Unser Ansatz zur Generierung von FAIR Data

14.04.2025

© Fraunhofer IWM
Abb.: Datenverarbeitung mit openBIS.

Prof. Dr. Matthias Scherge

Wer heute in fünf Jahren auf einen reichhaltigen Informationsschatz zurückblicken möchte, der KI und ML FAIR´er Daten ermöglicht, sollte sicherstellen, dass bereits jetzt Versuchsplanung, -dokumentation und -auswertung das erlauben. Wir nutzen hierzu die Plattform openBIS, mit der Versuche angelegt, Proben katalogisiert, Messabläufe dokumentiert und Daten maschinell aufbereitet werden. Darüber hinaus zapfen wir eine Datenbank an, in der Labortemperatur und -feuchte gespeichert werden. Diese Informationen sind unerlässlich, wenn zum Beispiel Öl- und Additivtests bezüglich Reibung und Verschleiß korrekt ausgewertet werden sollen. Die Auswertungen selbst sowie die Visualisierungen erfolgen auf Jupyter Notebooks mittels Python. Neben reinen Datenkolonnen werden auch Mikroskopiebilder und Spektren (z.B. XPS oder FTIR) maschinenlesbar abgelegt, um eine Datenverarbeitung nach den FAIR-Prinzipien (findable, accessible, interoperable, reusable) zu gewährleisten.

nach oben

Einflüsse auf das HT-Verschleißverhalten einer Kobalt-Materialpaarung

01.04.2025

© Fraunhofer IWM
Abb.: Schematische Darstellung der dominierenden tribologischen Verschleißmechanismen für unterschiedliche Temperaturbereiche und Atmosphären sowie mathematische Korrelationen mit weiteren Einflussfaktoren.

Tobias König

In der Studie Influencing factors on high temperature tribology werden der Einfluss der Temperatur, Normalkraft, Reversierstrecke, Frequenz und Gleitweg auf das tribologische Materialverhalten einer ungeschmierten Kobalt-Werkstoffpaarung sowie die Auswirkungen eines Atmosphärenwechsels von Umgebungsluft zu einer sauerstoffarmen CO2/N2/O2-Atmosphäre untersucht. Die anschließende Identifizierung von empirischen Verschleißkorrelationen soll eine Übertragung auf andere Werkstoffsysteme ermöglichen. Reversierende Verschleißversuche wurden bei bis zu 800 °C mit einer Zylinder-Platten-Kontaktgeometrie durchgeführt. Die Versuchsbedingungen sowie die Werkstoffe orientieren sich an der Anwendung als Gleitlager in Abgasklappen von Verbrennungsmotoren.

Die Temperatur hat einen signifikanten Einfluss auf das Verschleißverhalten, da sie den Wechsel der tribologischen Mechanismen von Abrasion zu Oxidation und Adhäsion von Verschleißpartikeln bis hin zur Bildung eines Glazelayers im HT-Bereich induziert. Die Verschleißpartikel, die für den tribologisch induzierten Sinterprozess des Glazelayers benötigt werden, liegen bereits bei niedrigen Temperaturen von 200 °C in vollständig oxidierter Form vor. Die Bildung eines verschleißmindernden Glazelayers ist daher hauptsächlich von der Temperatur abhängig, da diese den Sinterprozess direkt beeinflusst, so eine zentrale Erkenntnis dieser Arbeit. Der atmosphärische Einfluss auf das tribologische Werkstoffverhalten ist abhängig vom temperaturbedingten Verschleißregime. Bei niedrigeren Temperaturen findet in der sauerstoffreduzierten CO2/N2/O2-Atmosphäre ein Mechanismenwechsel von Abrasion zu Adhäsion statt. Im Gegensatz dazu wird die Bildung des Glazelayers durch den Wechsel der Atmosphäre nicht beeinflusst.

König, T.; Wolf, E.; Daum, P.; Kürten, D.; Kailer, A.; Dienwiebel, M., Influencing factors on high temperature tribology, Wear 566-567 (2025) Art. 205758, 16 Seiten Link

nach oben

Neues Projekt zur Problematik des Reifenabriebs

31.03.2025

© Fraunhofer IWM
Abb.: Graphische Zusammenfassung der Projektidee.

Dr. Christof Koplin

Der durch den täglichen Verkehr anfallende Reifenabrieb und dessen Zerfallsprodukte stellen eine große Belastung für Mensch und Umwelt dar. Mit der Euro-7-Norm werden erstmals feinstaubbezogene Grenzwerte für Reifenabrieb eingeführt, die von der Wirtschaft fordern, diesen deutlich zu reduzieren und um­weltverträglicher zu gestalten. Existierende Prüfmethoden fokussieren jedoch nur auf die mengenmäßige Verschleißbeständigkeit von Reifen. Form, Größenverteilung und deren Einfluss auf die Degradationsprozesse der Partikel in der Umwelt und ihre Toxi­kologie werden nicht berücksichtigt. Um diese regulatorisch bedingt absehbare Markt­lücke durch Vorlaufforschung zu schließen, starten die Fraunhofer-Institute LBF, IWM (MikroTribologie Centrum µTC), IGD und ICT im April eine gemeinsame Vorlaufforschung.

Entwickelt wird eine Technologieplattform zur standardisierbaren, labormäßigen Erzeugung realitätsnahen Gummiabriebs, dessen Analyse für Material- und Reifen­ent­wicklungen und die Prognose für die digitalisierte Fahranalyse. Die Erzeugung erfolgt mit Vollgummirädern in einem Prüfstand durch geregeltes Aufbringen mechanischer und thermischer Lasten. Eine optische Inline-Sensorik soll die Reiboberflächen optisch erfassen, KI-gestützt auswerten und aus vorliegenden Strukturen die Partikelverteilung vorhersagen. Erforderlich hierzu sind die Entwicklung einer parametrischen Reib­fläche und die Erzeugung realer Referenzpartikel. Die Degradation des erzeugten rea­lis­ti­schen Abriebs wird mit neuen Techniken der Labor­bewitterung und chemischen Ana­ly­sen untersucht. Die Ergebnisse werden für ökotoxikologische Bewertungen genutzt und auch in Fahrzeugflottensimulationen überführt.

nach oben

Schmierstoffanalysen aus einer Hand

03.03.2025

© Fraunhofer IWM

Prof. Dr. Matthias Scherge

Beim MikroTribologie Centrum µTC bieten wir ein umfassendes und stark erweitertes Angebot an Analysemöglichkeiten für Schmierstoffe an. Unsere chemischen Untersuchungen umfassen unter anderem Festkörper-NMR, NMR-Spektroskopie, DMA, DSC, TGA, GPC, FTIR und GC-MS. Ergänzt wird dies durch eine präzise mechanische Charakterisierung mit mehr als 50 Tribometern, von denen viele eine kontinuierliche Reibungs- und Verschleißmessung ermöglichen. Detaillierte Strukturanalysen mittels FIB und TEM liefern tiefgehende Einblicke, während atomistische Simulationen gezielt zur Untersuchung der Tribochemie beitragen. Diese Methoden ermöglichen nicht nur eine umfassende Analyse von Schmierstoffen, sondern auch deren gezielte Weiterentwicklung. Dabei können wir Tests sowohl vor als auch nach tribologischer Beanspruchung durchführen – und sogar während des Testlaufs. So schaffen wir die Grundlage für belastbare Erkenntnisse und innovative Lösungen in der Schmierstofftechnologie.

nach oben

Running-In of DLC–Third Body or Transfer Film Formation

06.02.2025

© Lubricants [übersetzt aus dem Englischen]
Abb.: Das Bild zeigt das XPS-Tiefenprofil der ta-C-Schicht. Deutlich zu erkennen ist die starke Oberflächennähe der chemischen Veränderung.

Joachim Faller und Prof. Dr. Matthias Scherge

Amorphe Kohlenstoffschichten sind aufgrund ihrer guten Reibungs- und Verschleißeigenschaften weit verbreitet. Ein detailliertes Verständnis ihres Verhaltens während des Einlaufs, abgesehen von Untersuchungen an Modell-Tribosystemen, wurde bisher noch nicht gewonnen.

Es wurden mehrere Analysemethoden eingesetzt, um die physikalischen und chemischen Veränderungen einer ta-C-Schicht und ihres thermisch gespritzten, metallischen Gegenkörpers nach einem Einlaufvorgang im Pin-on-Disk-Tribometer zu ermitteln. Beide Beschichtungen wiesen Veränderungen in ihrer Oberfläche und oberflächennahen Chemie auf. Die Mechanismen in und auf der Eisenspritzschicht wurden als eine Mischung aus drittem Körper, mit der Bildung von Gradienten in der Mikrostruktur und Chemie, und einer zusätzlichen kohlenstoffreichen Tribofilmbildung auf der Oberfläche identifiziert. Die chemischen Veränderungen der ta-C-Beschichtung mit sp2-Anreicherung und Einschlüssen von Schmierstoffelementen erwiesen sich als zu komplex, um sie entweder der Tribofilm- oder der Drittkörperbildung zuzuordnen.

Faller, J.; Scherge, M., Running-In of DLC-third body or transfer film formation, Lubricants 12/9 (2024) Art. 314, 11 Seiten Link

nach oben

GearOil-LOOP – Kreislauffähige Getriebeöle

23.01.2025

© Fraunhofer IWM
Abb.: Konsortium GearOil-Loop

Neues Verbundforschungsprojekt zu Recyclingprozessen für Schmierstoffe und zu wiederverwendbaren Getriebeölen 

 

Dr. Andreas Kailer

In der EU werden jährlich mehr als 4 Millionen Tonnen Schmierstoffe hergestellt und verbraucht. Der größte Teil dieser Schmierstoffe wird aus fossilen Rohstoffen gewonnen. Der Anteil biobasierter Schmierstoffe ist sehr gering, da diese noch nicht die Leistungsfähigkeit ihrer fossilen Pendants erreichen oder teuer sind. In der Rückgewinnung von hochwertigen Grundstoffen aus Altöl liegt ein enormes Potenzial zur Vermeidung von CO2-Emissionen. Für entsprechende Stoffkreisläufe entwickelt ein Konsortium aus Forschungseinrichtungen und Industrieunternehmen wirksame Recyclingtechnologien.

40% des Altöls aus Industrieprozessen kann heute wieder zu Grundölen verarbeitet werden. Die technologischen Prozesse dafür sind jedoch nicht differenziert genug, um die für Hochleistungsschmierstoffe wertvollen Grundstoffe aus Altöl zurückzugewinnen und daraus neue langlebige Schmierstoffe herzustellen. Derzeit verbreitete Recyclingtechnologien sind daher auf niedrigviskose Öle begrenzt. Der Bedarf bei Schmierstoffherstellern und deren Grundstofflieferanten, höherviskose Getriebeöle weiter zu nutzen, ist groß, da dort enorme Potenziale zur CO2- und Kostenreduktion liegen. Auch in Technologiebereichen wie Windkraft oder Mobilität ist das Interesse an nachhaltigen Schmierungslösungen groß.

Das Verbundforschungsvorhaben aus drei Forschungsinstituten und sechs Industriepartnern zielt auf eine wirtschaftliche und innovative Kreislaufwirtschaft für hochwertige Schmierstoffe. Im Projekt GearOil-Loop möchte das Konsortium einen Recyclingprozess sowie ein speziell für Kreislauffähigkeit geeignetes Getriebeöl entwickeln, das mindestens 50 Prozent rezykliertes Basisöl enthält. Damit soll demonstriert werden, wie ein industriell und wirtschaftlich umsetzbarer Recyclingprozess funktioniert. Anspruchsvoll ist dieses Ziel nicht zuletzt deshalb, weil gleichzeitig ein recyclingfähiges Getriebeöl und der Recyclingprozess entwickelt und erprobt werden. Dieser doppelte Entwicklungsstrang erfordert eine intensive Zusammenarbeit aller Partner entlang der Entwicklungs- und Wertschöpfungskette.

Wichtige Stationen sind neben der Schmierstoffentwicklung und dem Schmierstoffrecycling Überprüfungsmöglichkeiten zum Einsatzverhalten der Schmierstoffe in Getrieben und Lagern sowie grundlegende Untersuchungen zum Reibungs- und Verschleißverhalten, mit denen bestätigt werden soll, dass die entwickelten Schmierstoffe in ihrer Leistungsfähigkeit und Haltbarkeit mit herkömmlichen, d.h. nicht recycelten Getriebeölen, mithalten können. Bewertet wird auch die Nachhaltigkeit des Kreislaufkonzepts, wobei Ausgangsstoffe, Herstellungs- und Recyclingprozesse und das Einsatzverhalten der Schmierstoffe berücksichtigt werden.

nach oben

Archiv: Ältere Beiträge

2024

2023

2022

2021

2020

2018-2019